相關供應商:
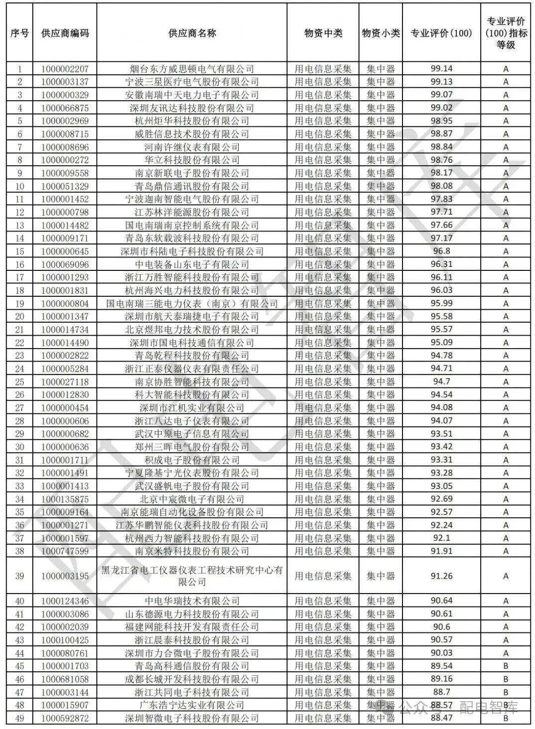
近期,國家電網有限公司開展了集中器(采集器)、融合終端供應商評價工作,評價范圍及結果見附件。
公示期為自即日起3天(即2025年9月2日至2025年9月4日)。如對本次評價結果有疑問,請在自公示期起30日內進行咨詢。公示期結束后,本次評價結果進入應用階段,受理咨詢,不再進行更改。
咨詢電話:4008180899-5-4-1
2025年9月2日
附件詳情:
上一篇:無
下一篇:國網山東牽頭成立新機構,董事長出席揭牌
CPEM全國電力設備管理網 ? 2016 版權所有 ICP備案號:滬ICP備16049902號-7